Socioeconomic status is associated with access to simultaneous pancreas and kidney transplant
Shani Kamberi1, Josue Alvarez-Casas1, Silke Niederhaus1, Cinthia Drachenberg2, Chandra Bhati1, Daniel Maluf1, Saad Malik1, Jonathan Bromberg1, Abdolreza Harririan1, Raphael PH Meier1.
1Department of Surgery, University of Maryland Medical Center, Baltimore, MD, United States; 2Department of Pathology, University of Maryland Medical Center, Baltimore, MD, United States
Introduction: Socioeconomic disparities have been associated with stratifications in access to care and outcomes in solid organ transplantation. Worse social and physical environments, psychological burdens, and care inaccessibility are contributing factors. We aimed to characterize SES in Simultaneous Pancreas and Kidney (SPK) transplant recipients and analyze their effect on outcomes and transplant accessibility.
Methods: A retrospective cohort study consisting of 377 SPK recipients between 1991 and 2022 was performed. SES was measured using average household income data from reported United States tax statistics. Recipients were stratified into four quartiles based on income. Univariate Kaplan-Meier curves were generated to analyze survival.
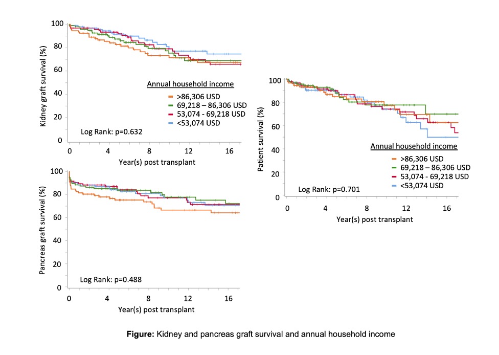
Results: Patients were divided into four quartiles according to their household income. Recipients in the lowest quartiles were found to have a lower chance of completing postsecondary education and more frequently self-identified as Black or African American. There were no significant differences among income brackets when assessing baseline characteristics. Age at transplant and age at diabetes onset were not statistically different between groups. SPK recipients in the lowest income bracket were less likely to receive a preemptive transplant. There were 11% preemptive SPK in the lowest income quartile, 25% in the second, 19% in the third, and 44% in the highest income quartile (p<0.001). Among recipients on dialysis at the time of transplant, there were no significant differences in dialysis time (2.1±3.1 years on average). Kidney/pancreas graft and patient survival were not statistically different between the four groups (Figure).
Conclusion: Our data found that low SES was not associated with differences in terms of graft survival in SPK recipients. We highlight a potential disparity in SPK transplant accessibility among the lowest income bracket recipients in the US. More research should be done to understand the systemic barriers that affect access to care and transplant referrals among diabetic patients.
